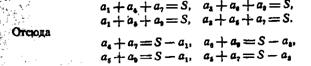
Ответ 336 02 Янв, 2008 admin 2 января 2008 К ГЛАВЕ XII Имеем по условию: и, следовательно, . Складывая почленно последние два равенства получим: Прибавим к обеим частям этого равенства по а5, тогда следовательно, а если